Roblox Asset Downloader Firefox

Free Robux No Human Verification Or Downloading Apps Roblox Asset

Free Robux No Human Verification Or Downloading Apps Roblox Asset

Roblox Quick Asset Downloader Download

Roblox Quick Asset Downloader Download

Researchers Obtain A Command Server Used By North Korean Hacker

Researchers Obtain A Command Server Used By North Korean Hacker

Amethyst Ore Mod For Android Free Download And Software Reviews

Amethyst Ore Mod For Android Free Download And Software Reviews

Free Robux No Human Verification Or Downloading Apps Roblox Asset

Free Robux No Human Verification Or Downloading Apps Roblox Asset

Totlol Com Page 138 Of 138 Global Magazine

Totlol Com Page 138 Of 138 Global Magazine

Roblox Asset Downloader The Expert

Roblox Asset Downloader The Expert

Firefox My Disposable Email Website

Firefox My Disposable Email Website

Quick Copy Roblox Ids Get This Extension For Firefox En Us

Quick Copy Roblox Ids Get This Extension For Firefox En Us

Roblox Icon Download 297851 Free Icons Library

Roblox Icon Download 297851 Free Icons Library

Chrome Firefox Extension Quickly Copy Asset Ids User Ids

Chrome Firefox Extension Quickly Copy Asset Ids User Ids

Roblox Icon Download 297851 Free Icons Library

Roblox Icon Download 297851 Free Icons Library

10 Best Youtube Downloader Sites To Download Youtube Videos Online

10 Best Youtube Downloader Sites To Download Youtube Videos Online

Us Employment Overview

Us Employment Overview

All Categories Linoaohio

All Categories Linoaohio

Free Robux No Human Verification Or Downloading Apps Roblox Asset

Free Robux No Human Verification Or Downloading Apps Roblox Asset

10 Free Instagram Video Downloaders For Android Ios Url 2020

10 Free Instagram Video Downloaders For Android Ios Url 2020

Idm Lite Music Video Torrent Downloader By Vicky Bonick Google

Idm Lite Music Video Torrent Downloader By Vicky Bonick Google

How To Use Chrome Extensions In Firefox And Opera

How To Use Chrome Extensions In Firefox And Opera

Histacalm Codes For Roblox

Histacalm Codes For Roblox

How To Use Chrome Extensions In Firefox And Opera

How To Use Chrome Extensions In Firefox And Opera

The Case For Limiting Your Browser Extensions Kizz Kustoms

The Case For Limiting Your Browser Extensions Kizz Kustoms

Firefox My Disposable Email Website

Firefox My Disposable Email Website

10 Best Youtube Downloader Sites To Download Youtube Videos Online

10 Best Youtube Downloader Sites To Download Youtube Videos Online

Addon Track For Android Apk Download

Addon Track For Android Apk Download

2

2

Roblox Icon Download 297851 Free Icons Library

Roblox Icon Download 297851 Free Icons Library

Msi Downloader Download Sourceforge Net

Msi Downloader Download Sourceforge Net

Free Robux No Human Verification Or Downloading Apps Roblox Asset

Free Robux No Human Verification Or Downloading Apps Roblox Asset

Firefox My Disposable Email Website

Firefox My Disposable Email Website

Jw Player Videos My Disposable Email Website

Jw Player Videos My Disposable Email Website

Btroblox Making Roblox Better Get This Extension For

Btroblox Making Roblox Better Get This Extension For

10 Free Instagram Video Downloaders For Android Ios Url 2020

10 Free Instagram Video Downloaders For Android Ios Url 2020

10 Free Instagram Video Downloaders For Android Ios Url 2020

10 Free Instagram Video Downloaders For Android Ios Url 2020

Roblox Asset Downloader The Expert

Roblox Asset Downloader The Expert

Firefox My Disposable Email Website

Firefox My Disposable Email Website

Survey Remover Tools My Disposable Email Website

Survey Remover Tools My Disposable Email Website

Addon Track For Android Apk Download

Addon Track For Android Apk Download

Roblox Asset Downloader The Expert

Roblox Asset Downloader The Expert

The Best Vpn For Mozilla Firefox 2019 Toptenbiz

The Best Vpn For Mozilla Firefox 2019 Toptenbiz

Neptunsick Blog

Neptunsick Blog

How To Use Chrome Extensions In Firefox And Opera

How To Use Chrome Extensions In Firefox And Opera

Rassetdownloader Roblox Asset Downloader

Rassetdownloader Roblox Asset Downloader

Chrome Firefox Extension Quickly Copy Asset Ids User Ids

Chrome Firefox Extension Quickly Copy Asset Ids User Ids

Roblox Icon Download 297851 Free Icons Library

Roblox Icon Download 297851 Free Icons Library

10 Best Youtube Downloader Sites To Download Youtube Videos Online

10 Best Youtube Downloader Sites To Download Youtube Videos Online

Como Tener Robux Gratis Sin Hacks Ni Servicios Roblox Download

Como Tener Robux Gratis Sin Hacks Ni Servicios Roblox Download

Here Is My Proof Raymonf Finobe

Here Is My Proof Raymonf Finobe

All Categories Linoaohio

All Categories Linoaohio

Firefox My Disposable Email Website

Firefox My Disposable Email Website

How To Copy Any Roblox Animation Worded Tutorial In Description

How To Copy Any Roblox Animation Worded Tutorial In Description

Btroblox Making Roblox Better Get This Extension For

Btroblox Making Roblox Better Get This Extension For

How To Use Chrome Extensions In Firefox And Opera

How To Use Chrome Extensions In Firefox And Opera

Brain Health Trainer Transparent Fai Education

Brain Health Trainer Transparent Fai Education

Apk Downloader

Apk Downloader

Blog Archives Bestsoft Tvsoft

Blog Archives Bestsoft Tvsoft

Btroblox Making Roblox Better Get This Extension For

Btroblox Making Roblox Better Get This Extension For

How To Copy Any Roblox Animation Worded Tutorial In Description

How To Copy Any Roblox Animation Worded Tutorial In Description

Spse Twitter Header Southeast

Spse Twitter Header Southeast

Roblox Icon Download 297851 Free Icons Library

Roblox Icon Download 297851 Free Icons Library

10 Best Youtube Downloader Sites To Download Youtube Videos Online

10 Best Youtube Downloader Sites To Download Youtube Videos Online

Roblox Icon Download 297851 Free Icons Library

Roblox Icon Download 297851 Free Icons Library

Roblox Asset Downloader The Expert

Roblox Asset Downloader The Expert

Cyber Disruption

Cyber Disruption

Btroblox Virus Tomwhite2010 Com

Btroblox Virus Tomwhite2010 Com

Download And Use Chrome Extensions In Opera Install Chrome

Download And Use Chrome Extensions In Opera Install Chrome

Open The Inspector Firefox Developer Tools Mdn

Open The Inspector Firefox Developer Tools Mdn

How To Page 3 My Disposable Email Website

How To Page 3 My Disposable Email Website

Check Genuine Yonex Serial Number

Check Genuine Yonex Serial Number

Roblox How To Copy Clothing Youtube

Roblox How To Copy Clothing Youtube

Msi Downloader Download Sourceforge Net

Msi Downloader Download Sourceforge Net

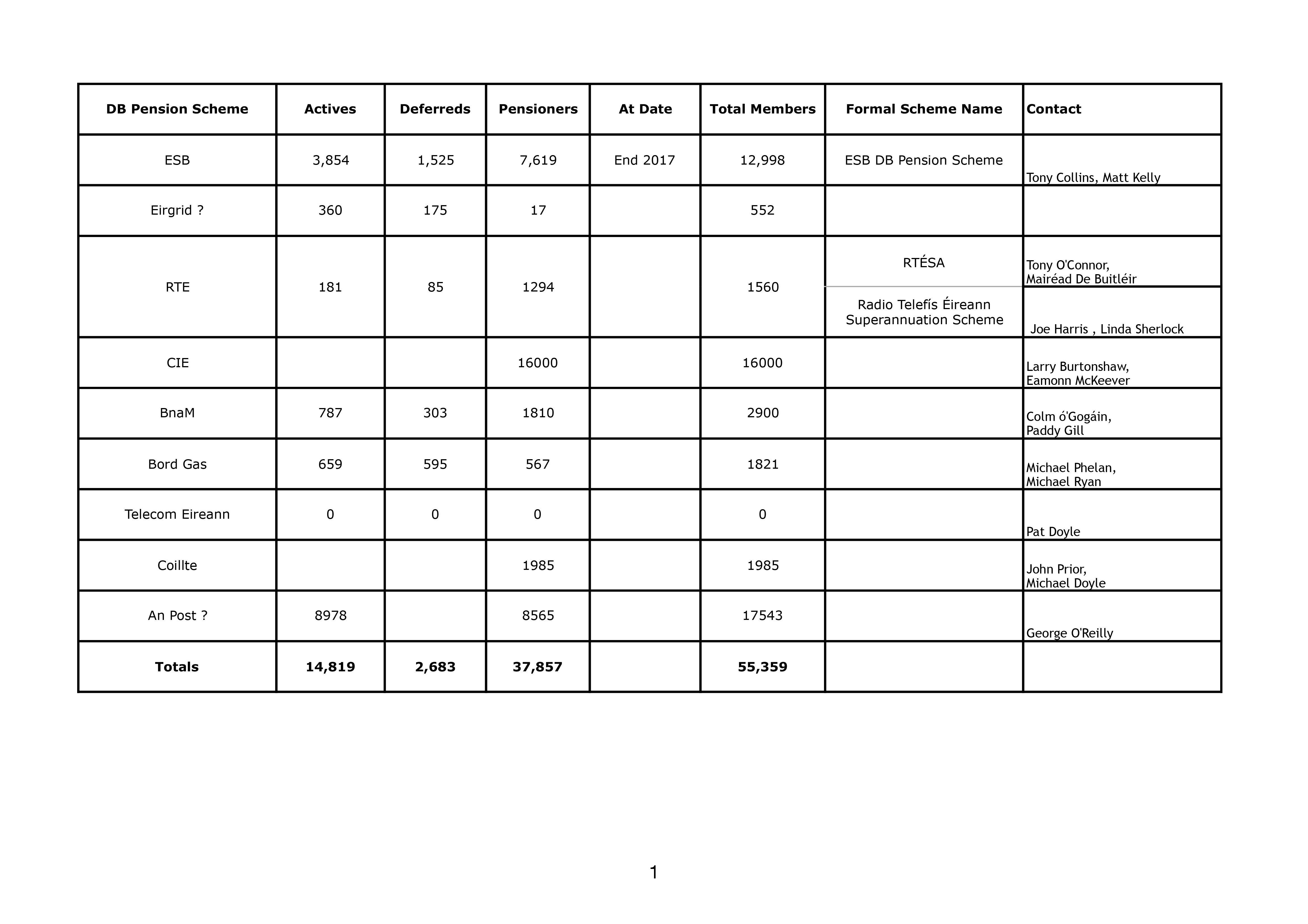
Semi State Retired Staff Group Rte Retired Staff Association

Semi State Retired Staff Group Rte Retired Staff Association

Robus Generator My Disposable Email Website

Robus Generator My Disposable Email Website

10 Best Youtube Downloader Sites To Download Youtube Videos Online

10 Best Youtube Downloader Sites To Download Youtube Videos Online

Btroblox Virus Tomwhite2010 Com

Btroblox Virus Tomwhite2010 Com

Roblox Icon Download 297851 Free Icons Library

Roblox Icon Download 297851 Free Icons Library

10 Free Instagram Video Downloaders For Android Ios Url 2020

10 Free Instagram Video Downloaders For Android Ios Url 2020

Roblox Quick Asset Downloader

Roblox Quick Asset Downloader

Firefox My Disposable Email Website

Firefox My Disposable Email Website

Roblox Booga Booga Hacks Roblox New Tricks Download Hacks

Roblox Booga Booga Hacks Roblox New Tricks Download Hacks

Svchost Com Infection Virus Trojan Spyware And Malware

Svchost Com Infection Virus Trojan Spyware And Malware

10 Best Youtube Downloader Sites To Download Youtube Videos Online

10 Best Youtube Downloader Sites To Download Youtube Videos Online

Browsers My Disposable Email Website

Browsers My Disposable Email Website

The Best Vpn For Mozilla Firefox 2019 Toptenbiz

The Best Vpn For Mozilla Firefox 2019 Toptenbiz

Roblox Asset Downloader The Expert

Roblox Asset Downloader The Expert

How To Use Chrome Extensions In Firefox And Opera

How To Use Chrome Extensions In Firefox And Opera

Https Encrypted Tbn0 Gstatic Com Images Q Tbn 3aand9gctg Bg0w17jfwu 9j81ls3zavowyqlyprpqxilontjczr9 Dnrl Usqp Cau

Https Encrypted Tbn0 Gstatic Com Images Q Tbn 3aand9gctg Bg0w17jfwu 9j81ls3zavowyqlyprpqxilontjczr9 Dnrl Usqp Cau

Fordownloader Roblox Asset Downloader Download Assets

Fordownloader Roblox Asset Downloader Download Assets

How To Page 3 My Disposable Email Website

How To Page 3 My Disposable Email Website

Open The Inspector Firefox Developer Tools Mdn

Open The Inspector Firefox Developer Tools Mdn

Backblaze Updates Its Backup Service Internet Technology News

Backblaze Updates Its Backup Service Internet Technology News

Opening Oracle Rdf Filest

Opening Oracle Rdf Filest

Roblox Asset Downloader The Expert

Roblox Asset Downloader The Expert

Roblox Asset Downloader The Expert

Roblox Asset Downloader The Expert

How To Use Chrome Extensions In Firefox And Opera

How To Use Chrome Extensions In Firefox And Opera

10 Best Youtube Downloader Sites To Download Youtube Videos Online

10 Best Youtube Downloader Sites To Download Youtube Videos Online

Id Created Title Content Tags Product Topic Firefoxversion 1216899

Id Created Title Content Tags Product Topic Firefoxversion 1216899

10 Free Instagram Video Downloaders For Android Ios Url 2020

10 Free Instagram Video Downloaders For Android Ios Url 2020

How To Use Chrome Extensions In Firefox And Opera

How To Use Chrome Extensions In Firefox And Opera

10 Best Youtube Downloader Sites To Download Youtube Videos Online

10 Best Youtube Downloader Sites To Download Youtube Videos Online

Roblox Quick Asset Downloader

Roblox Quick Asset Downloader